MOS 管在逆變電路,開光電源電路中經常是成對出現,習慣上稱之為上管和下管,如圖Figure 1中的同步Buck 變換器,High-side MOSFET 為上管, Low-side MOSFET為下管。


如果上管和下管同時導通,就會導致電源短路,MOS 管會損壞,甚至時電源損壞,這種損壞是災難行動,必須避免.由于MOS 的開通和關斷都是有時沿的,為了避免上管和下管同時導通,造成短路現象,從而引入了死區的概念,也就是上下管同時關斷的區間,如圖Figure2 中的E 和 F。


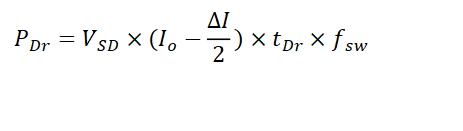
死區E---tDf上管關斷,下管還沒開啟,下管體二極管續流,電流從最大值Io + ΔI/2 開始下降,由于死區時間很短,工程上計算可以近似為死區E的電流恒定,以方便計算。
死區E對應的功耗為:


死區F---tDf下管關斷,上管還沒開啟,下管體二極管續流,電流接近最小值Io - ΔI/2 ,由于死區時間很短,工程上計算可以近似為死區F的電流恒定,以方便計算。
死區F對應的功耗為:


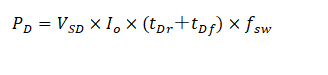
工程上快速估算時,也會用把兩個死區的電流平均化,近似用Io替代, 一個完整的開關周期的死區損耗如下:

〈烜芯微/XXW〉專業制造二極管,三極管,MOS管,橋堆等,20年,工廠直銷省20%,上萬家電路電器生產企業選用,專業的工程師幫您穩定好每一批產品,如果您有遇到什么需要幫助解決的,可以直接聯系下方的聯系號碼或加QQ/微信,由我們的銷售經理給您精準的報價以及產品介紹

〈烜芯微/XXW〉專業制造二極管,三極管,MOS管,橋堆等,20年,工廠直銷省20%,上萬家電路電器生產企業選用,專業的工程師幫您穩定好每一批產品,如果您有遇到什么需要幫助解決的,可以直接聯系下方的聯系號碼或加QQ/微信,由我們的銷售經理給您精準的報價以及產品介紹
聯系號碼:18923864027(同微信)
QQ:709211280

