兩級電流并聯負反饋放大電路
圖(a)是兩級電流并聯負反饋電路,圖(c)是它的交流等效電路方框圖。

1、反饋類型的判斷
(1)找反饋元件。由圖可見,R f、Re2是聯系輸出回路和輸入回路的元件,故為反饋元件,由它們組成反饋網絡。
(2)判斷是電壓反饋還是電流反饋。因反饋信號取自非電壓輸出端,故為電流反饋。
(3)判斷是串聯反饋還是并聯反饋。因反饋信號引至共射電路的基極,故為并聯反饋。
(4)判斷反饋極性。假定Ui為 +(對地),經兩級共射電路放大后Ue2為 - ,則通過Rf的電流I f的方向如圖(c)中所示,它對Ii起了分流作用,從而使有效輸入信號減弱,故為負反饋。
綜上判斷結果,該電路為電流并聯負反饋放大電路。
2、反饋對輸出電量的穩定作用
當Ii一定,由于某種原因(如β或RL變化)引起輸出電流發生變化時,則通過反饋網絡R f、Re2的作用將產生如下自動調節過程:
β2 ↑→Io(Ie2)↑→I f↑→ Ib↓→ Io↓
其效果使輸出電流趨于穩定。
可見,電流負反饋能夠穩定輸出電流。
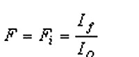
3、信號源內阻對并聯反饋效果的影響
對并聯負反饋,有Ib = Ii - I f,若信號源內阻 RS = ∞,則Ii恒定,I f的增加量全部轉化為Ib的減小量,反饋效果最強;若RS較小,則隨著I f 的增加,Ii 也有所增加,Ib 的減小量被縮減,負反饋效果減弱。因此,并聯負反饋適用于信號源內阻RS大的場合。
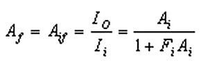
4、放大倍數和反饋系數的含義
電流并聯負反饋電路中,XI 、 Xo 、Xf 等均為電流量,故:


AIf、FI分別稱為閉環電流放大倍數和電流反饋系數。
〈烜芯微/XXW〉專業制造二極管,三極管,MOS管,橋堆等,20年,工廠直銷省20%,上萬家電路電器生產企業選用,專業的工程師幫您穩定好每一批產品,如果您有遇到什么需要幫助解決的,可以直接聯系下方的聯系號碼或加QQ/微信,由我們的銷售經理給您精準的報價以及產品介紹
聯系號碼:18923864027(同微信)
QQ:709211280

